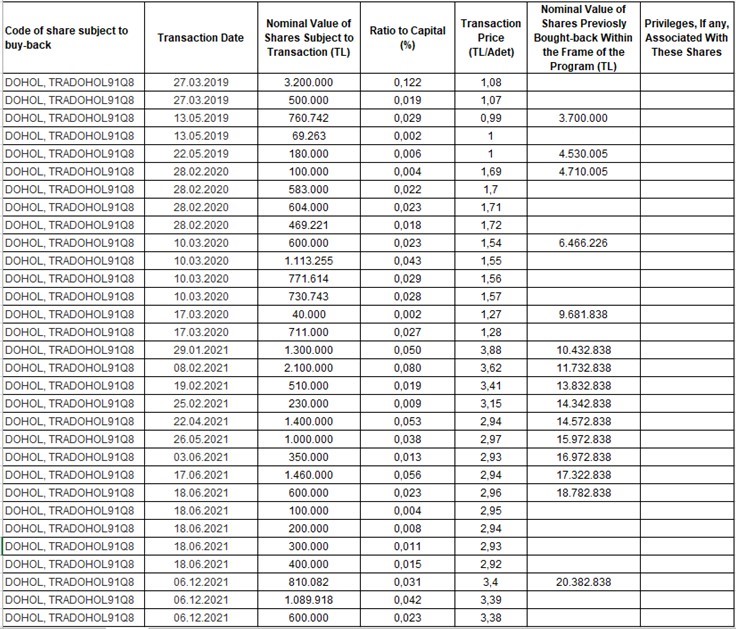
06.12.2021
It is evaluated that our financial performance hasn’t been reflected our consolidated operational performance truly based on the current NAV discount and share price formed in the Bourse İstanbul. Within the scope of the “Share Buy-back Program” approved at the Ordinary General Assembly Meeting dated March 20, 2019 our company purchased a total of 2,500,000 shares on December 06, 2021 (today) from Bourse.
