Doğan Şirketler Grubu Holding A.Ş.
Burhaniye Mahallesi Kısıklı Caddesi No: 65 34676 Üsküdar/İstanbul
+90 (216) 556 90 00
Notification on Selling Share – Çelik Halat
07.03.2018
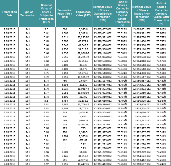
Notification regarding our company’s transactions executed on March 07, 2018 (today) on the shares of our direct subsidiary Çelik Halat ve Tel Sanayii A.Ş. is presented below.
Our investor relations website is prepared and updated in order to supply information, not to provide any kind of investment recommendation to Doğan Holding or group companies’ shares. The information in this website and selected documents may have become out of date. Doğan Holding does not undertake any obligation, and disclaims any duty to update any of the information in those documents.
Some of the documents in the website contain forward-looking statements that reflect the Company management’s current views with respect to certain future events. These views and forecasted numbers depend on a number of variables and underlying assumptions that could cause the actual results to differ materially.
Neither Doğan Holding, its directors, managers or employees nor any other person shall have any liability whatsoever for any loss arising from the use of this website and its contents. Therefore, readers are strongly recommended to confirm correctness of such information and will be held fully responsible for the decisions they will make based on the information obtained from this website.
All logos and any proprietary information found in this website shall not be used in any other form of communication by third parties without the express written consent of Doğan Holding Management.
This website uses cookies to improve the user experience. By using our website, you consent to all cookies in accordance with our Cookie Policy. Read more.