Doğan Şirketler Grubu Holding A.Ş.
Burhaniye Mahallesi Kısıklı Caddesi No: 65 34676 Üsküdar/İstanbul
+90 (216) 556 90 00
Pay Geri Alım Bildirimi - DOHOL
18.06.2021
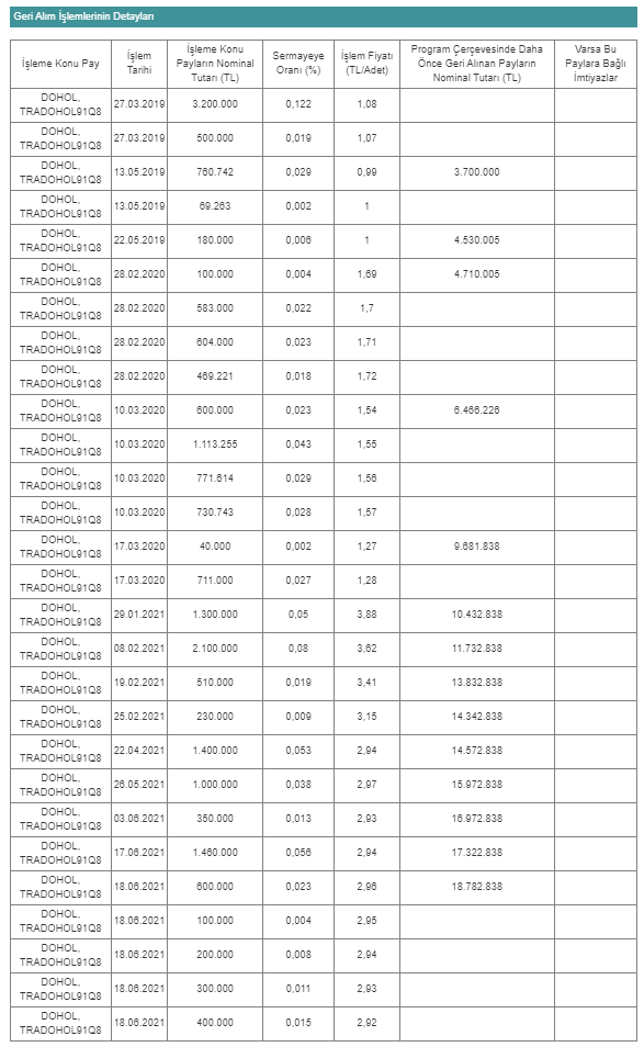
Şirketimiz 20 Mart 2019 tarihli Olağan Genel Kurul Toplantısında onaylanan "Pay Geri Alım Programı" kapsamında 18 Haziran 2021 tarihinde (bugün) 1.600.000 adet kendi payını Borsa'dan satın almıştır.
Yatırımcı İlişkileri web sitemiz bilgi sağlamak amacıyla hazırlanmakta ve güncellenmekte olup, Doğan Holding veya grup şirketlerinin hisselerine yatırım tavsiyesi sağlamak amacı taşımamaktadır. Web sitesindeki bilgiler ve bazı dokümanlar güncelliğini yitirmiş olabilir. Doğan Holding bu bilgileri güncelleyeceğine dair herhangi bir taahhüt vermemektedir.
Bazı dökümanlarda ileriye dönük görüş ve tahmini rakamlar yer almaktadır. Bunlar Şirket Yönetiminin gelecekteki duruma ilişkin şu andaki görüşlerini yansıtmaktadır ve belli varsayımları içermektedir. İleriye dönük görüşler ve tahmini rakamlar birçok değişkene ve varsayıma bağlı olup, bu değişkenlerde ve varsayımlarda oluşabilecek değişiklikler nedeniyle farklılık gösterebilirler.
Web sitesinin ve içeriğinin kullanımından doğan zararlardan Doğan Holding ya da herhangi bir yönetim kurulu üyesi, yöneticisi veya çalışanı sorumlu değildir. Bu sebeple, okuyucuların, bu siteden elde edilen bilgilere dayanarak hareket etmeden önce, bilgilerin doğruluğunu teyit ettirmeleri önerilir ve bu bilgilere dayanarak aldıkları kararlarda sorumluluk kendilerine aittir.
Doğan Holding yönetiminden izin alınmadıkça hiçbir logo veya hak sahibi bulunduğumuz bilgi üçüncü kişilerce başka amaçla kullanılamaz.
Bu web sitesi kullanıcı deneyimini iyileştirmek için çerezler kullanır. Web sitemizi kullanmak suretiyle tüm çerezlere Çerez Aydınlatma Metni uyarınca onay vermiş olursunuz. Daha fazlasını oku.