10.12.2021
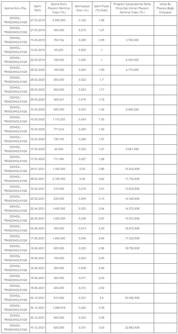
Şirket'imizin Borsa İstanbul A.Ş.'de oluşan hisse değerinin ve mevcut net aktif değer iskontosunun, Şirket konsolide faaliyet sonuçları neticesinde ortaya çıkan operasyonel performansını tam olarak yansıtmadığı değerlendirilmekte olup; 20 Mart 2019 tarihli Olağan Genel Kurul Toplantısında onaylanan "Pay Geri Alım Programı" kapsamında Şirket'imiz, 10 Aralık 2021 tarihinde (bugün) 820.000 adet kendi payını Borsa'dan satın almıştır.
Geri Alım İşlemlerinin Detayları
